一、概览

随着人工智能和高性能计算的普及,转发器、服务器和存储设备处理的数据量正在急剧增加。在这些设备中,高速数字信号以每秒数十千兆比特的数据速率交换。为了正确处理这种高速信号,设计人员不仅必须仔细注意这些数字信号的特性,还必须注意模拟信号的行为。因此,需要选择合适的测量仪器来准确评估信号。
本文首先概述了数字信号的基本原理及其测量技术。然后探讨了采样示波器和相关组件的作用,强调了其性能和特性的变化如何显著影响测量结果。
二、数字信号的基本特征

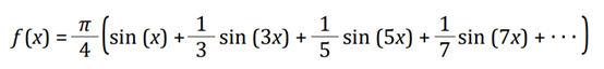
占空比为50%的矩形波是一种基本的数字信号波形,由基频和奇数谐波(如第3、第5和第7倍数)组合而成。从数学上讲,这意味着矩形波可以通过傅里叶级数展开表示为奇次谐波之和。
此外,随着倍数的增加,每个谐波的振幅逐渐减小。换句话说,矩形波的尖锐形状是由谐波分量产生的,因此去除这些分量会导致波形变圆。因此,矩形波的特性可以用谐波的存在及其衰减特性来解释。

图1 矩形波的组成
然而,对于实际信号,如果由于某种原因占空比不是50%,反射等可能会导致抖动。可以叠加多个偶数谐波,而不是参考频率的多个奇数整数谐波。然而,本文仅考虑具有理想50%占空比的矩形波形。

图2 传输路径损耗
数字信号通常通过印刷电路板从发射电路传输到后续的接收电路。在传输线上,高频分量的损耗通常大于低频分量的损耗。 结果是高频分量被衰减,这会使信号波形失真。
可以使用网络分析仪来评估沿传输路径的衰减程度。网络分析仪可以获取所谓的散射参数(S参数)。其中,S21参数表示从传输路径的输入到输出所引起的信号衰减量。网络分析仪可以评估衰减的频率特性。
基于数字信号的频率特性,以下章节将详细解释测量系统如何影响测量结果:

图3 传输线的频率特性
三、采样示波器性能对波形差异的影响

3.1 带宽引起的波形差异
采样示波器通常用于测量高速数字信号。如第2节所述,矩形波包含许多谐波分量,为了正确观察这些分量,需要与被测信号速度相对应的足够带宽。
例如,考虑使用非归零(NRZ)方法测量10Gbit/s电信号的情况。在这种情况下,基频是信号速率的一半,即5GHz,也称为奈奎斯特频率。然而,为了准确观察数字信号的上升和下降波形,不仅需要正确捕获基频,还需要正确捕获高次谐波分量,如第3和第5倍数。这是因为矩形波形的陡峭边缘部分由谐波分量组成,如果没有足够的带宽,波形就会显得模糊。
对于五次谐波,让我们再次回顾矩形波傅里叶级数展开的方程式。

上述方程式表明,尽管谐波的振幅减小,但对波形的总体影响最小。
为了准确观察理想波形,需要一种能够充分覆盖信号谐波分量的宽带测量仪器。例如,在10Gbit/s NRZ信号的情况下,理论上,7次谐波需要35GHz的频率,9次谐波需要45GHz的频率。这是因为,为了忠实地观察信号上升沿和下降沿的锐度,有必要测量高阶谐波分量。
另一方面,对于数据速率为28 Gbit/s的NRZ信号,7次谐波需要98 GHz的带宽,而9次谐波需要高达126 GHz的带宽。然而,很少有测量仪器能够支持如此高的带宽,而且这些仪器往往非常昂贵。因此,有必要决定在实际带宽范围内投资多少,而不是覆盖所有谐波分量。
考虑到这些因素,在评估矩形波等数字信号的波形质量时,通常使用带宽至少可以覆盖基频5次谐波的采样示波器。例如,对于10 Gbit/s信号,基频约为5 GHz,建议使用带宽为25 GHz或以上的设备,即基频的5倍。此外,在实际测量环境中,由于信号还受到传输线和连接器的损耗和反射以及外部噪声的影响,选择更宽的带宽可以考虑这些影响,从而能够更忠实地再现和观察信号的原始波形和边缘特性。同样,当测量100G物理层(PHY)中使用的28 Gbit/s数据信号时,考虑到14 GHz的基频及其5次谐波,需要70 GHz的带宽。
一般来说,在评估光通信设备时,通常规定信号在以大约75%的比特率(对于10Gbit/s,7.5-GHz LPF)通过低通滤波器(LPF)后进行测量,因此所需的带宽与测量电信号所需的不同。
图4和图5显示了使用50和70 GHz带宽的采样示波器观察到的28 Gbit/s信号的波形。当在70 GHz带宽下观察时,信号的上升和下降时间(10%至90%)约为14.2 ps。另一方面,当在50 GHz带宽下观测时,上升和下降的时间约为17至18 ps,是70 GHz带宽情况下的1.2至1.3倍。

图4 50GHz示波器观察到的波形

图5 70GHz示波器观察到的波形
这种差异的主要原因是示波器的带宽限制阻碍了对谐波分量的充分观察。特别是,来自5次谐波和更高频率的频率分量对于精确再现信号的急剧上升和下降至关重要。然而,在50 GHz带宽下,其中一些谐波超出了可用范围,使其不可观测。因此,波形变圆,测量的上升和下降时间比实际长。
3.2 触发引起的波形差异
使用采样示波器观察Gbit/s级高速信号时需要仔细注意的一点是触发精度。使用采样示波器,相对于目标信号的异步触发信号作为参考,以规则的间隔对输入信号进行采样以重建波形。这里,假设参考触发信号表现出很多抖动(定时波动)。在这种情况下,重建波形上显示的抖动将看起来大于输入信号中存在的抖动。
随着信号速度的增加,每比特的时间宽度变短,因此对于超过例如20 Gbit/s的超高速信号的测量,测量系统引起的抖动的影响不容忽视。因此,为了进行高精度的抖动测量,工程师需要抑制测量设备本身固有的抖动分量。
作为一个具体的例子,考虑使用带宽为70 GHz的采样示波器观察28 Gbit/s的信号。这里,图6显示了使用“高精度触发”功能时观察到的波形,图7显示了不使用该功能的情况。当使用高精度触发器时,测量的抖动值为486 fs(RMS),但可以确认,使用常规触发器时,抖动值会增加到1.062 ps(RMS)。这表明测量系统引起的抖动对观测结果有重大影响。

图6 使用“高精度触发”的波形

图7 未使用“高精度触发”的波形
即使输入相同的波形,采样示波器的触发精度和带宽的差异也会导致观察到的波形发生变化。因此,测量的波形不一定准确地反映实际信号,并且由于触发和带宽限制,存在不正确评估的风险。
为了进行准确的信号评估,重要的是要充分了解测量目标的信号特性和频带,并选择合适的测量工具和示波器。
四、外围设备的特性

本节解释了观察波形时使用的连接器、滤波器和电缆等组件特性的影响。
图8和图9显示了观察两种不同波形质量的10Gbit/s信号的结果。在这两种情况下,使用具有50 GHz带宽和高精度触发的示波器进行观察,通过80 cm电缆输入振幅为2 Vp-p的信号。从这些观察结果来看,PPG-1的上升和下降时间约为28 ps。另一方面,PPG-2的波形上升和下降速度更快,约为12.5 ps。

图8 PPG-1 波形

图9 PPG-2 波形
上述2个波形的频谱如下所示。

图10 PPG-1频谱

图11 PPG-2频谱
对于30 GHz以下的频谱,两者显示出几乎相同的特性,但PPG-2频谱在35 GHz左右显示出略高的水平。这表明PPG-2的波形具有更陡的上升沿和下降沿,更接近理想的矩形波形。因此,图11表明,频谱包含大量的7次谐波分量。
为了了解这种频谱差异对波形测量的影响,以下部分解释了波形在通过连接器和滤波器等无源元件时是如何改变的。具体来说,我们观察了波形通过SMP-SMA适配器时的情况,该适配器的频率特性适用于10 Gbit/s信号。
为了评估适配器的传输特性,使用矢量网络分析仪测量了S参数。图13显示了这些结果。虽然S21的频率响应显示出一些幅度波动,但可以确认带宽已充分扩展到大约50GHz。

图12 SMA-SMP适配器

图13 SMA-SMP适配器的S参数
当通过这种类型的器件时,对观察到的波形几乎没有影响。

图14 通过SMP后的PPG-1波形

图15 通过SMP后的PPG-2波形
接下来,图17显示了BNC-SMA公/母适配器的S参数。频率特性S11在43GHz附近约为0dB,表明信号在该频率下被反射。

图16 BNC适配器

图17 BNC适配器的S参数
图18和19显示了BNC适配器的特性如何影响波形。

图18 通过BNC后的PPG-1波形

图19 通过BNC后的PPG-2波形
观察到两种波形的波形基线失真。这种现象主要归因于反射;PPG-2包含更大比例的30 GHz以上的分量,往往受到更显著的影响。如果传输线的频率特性不能充分支持信号带宽,引入具有快速上升和下降时间的信号可能会导致波形恶化。因此,应调整输入信号波形以匹配传输线的特性。
接下来是通过为传输线量身定制的LPF传递具有快速上升和下降时间的信号的示例。下面解释使用截止频率为6.8GHz的LPF的情况。图20显示了该LPF的测量S参数。

图20截止频率为6.8GHz的低通滤波器的S参数
对于S21,从6.8到20 GHz左右,衰减约为10 dB/10倍频程,但超过20 GHz,衰减是恒定的。 此外,S11显示反射增加超过40 GHz。图21和22显示了通过该LPF后的波形。

图21通过LPF后的PPG-1波形

图22通过LPF后的PPG-2波形
由于LPF限制了信号的带宽,两种波形都因码间干扰(ISI)而表现出增加的抖动。然而,PPG-2的上升和下降时间更快,导致抖动更大。其主要原因是PPG-2波形包含更多的谐波分量。特别是,40 GHz左右的反射分量会导致抖动的增加。此外,该LPF可能无法充分衰减20GHz以上的频率分量。
这些结果表明,在频率带宽或反射特性不足的测量系统中,具有更多谐波分量的信号(具有快速上升和下降时间的波形)更容易受到ISI和反射的影响。当信号通过BNC适配器时,也观察到这种趋势。
为了高精度地测量高速信号,重要的是要仔细考虑测量系统中使用的电缆、适配器、滤波器和其他组件的频率和反射特性,并创造一个可以可靠地传输和测量信号谐波分量的环境。
最后,图23和24分别显示了使用带宽为27.5GHz的80cm同轴电缆和带宽为40GHz的80cm同轴线对32Gbit/s信号观察到的波形。在使用带宽高达27.5 GHz的同轴电缆获得的观测结果中,波形下部存在下冲。这是由于同轴电缆的带宽不足以接收输入信号而导致的失真。

图23 使用带宽为27.5GHz的电缆时

图24 使用带宽为40GHz的电缆时
五、总结

本文解释了采样示波器的带宽和触发精度对观察波形的影响,以及适配器和滤波器等外围设备的频率特性对观察到的波形的影响。为了精确测量高频信号,必须彻底确认用于测量的信号源、电缆、适配器和测量仪器都满足精确测量目标信号的条件。安立将继续提供更好的测量方法,以提高质量并为客户的产品增加价值